Vadne turbo FF 1,6 TDCi

Zamčeno
Uživatelský avatar
vita_k
Člen klubu
Člen klubu
Příspěvky: 4025
Registrován: 05.11.2010 17:55
Bydliště: Brno a okoli

Re: Vadne turbo FF 1,6 TDCi

Příspěvek od vita_k » 29.06.2012 16:13

lucky.jack píše:To samý jste řešili na str. 17 a 18 a tam ty vůle poněkud jinde než udáváš. 1mm už není na pováženou, to je na výměnu turba(roztrhanýho).
Zalezi teda jak to meris. strana 21. Hodnotu jsem udaval podle sveho a rikam, takto to uz mam od zacatku nakupu auta.
http://www.ford-focus.cz/forum/viewtopi ... &start=300

edit: a jeste si tam ze me delaj prdel za rezavou supleru misto toho aby resili namereny vysledek
Mondeo MK5 2015, 2.0 nafta 110kW viewtopic.php?p=1209319#p1209319
byl: Mondeo 1.6 EB viewtopic.php?f=256&t=46148 byl: FFII 07', 1.6tdci 80kw byl: escort 97', 1.8tdi 66kw

Uživatelský avatar
Sagic
Zkušený
Zkušený
Příspěvky: 1129
Registrován: 18.06.2012 11:59
Bydliště: Náchodsko

Re: Vadne turbo FF 1,6 TDCi

Příspěvek od Sagic » 29.06.2012 23:12

Čaute kluci,

prosím vás, pročítal jsem to tu a všude se píše, že turbo zabírá v 1750 ot. Já když přišlápnu plyn i třeba jen na 1/4 tak až do 2000 relativně žádná velká akce, ale v těch 2000 to je jak když vas nekdo kopne zezadu a fofik vypali jako blesk. Je to normalni nebo by tam takovy skok nemel byt a melo by turbo zabirat uz drive...

Dik za odpovedi.
Je:
Ford Focus III 1.6 Ecoboost 110KW
https://www.ford-focus.cz/forum/viewtopi ... 46&t=46977

Byl:
Ford Focus 2/2006 1.6 TDCi 80 KW s DPF

Uživatelský avatar
phofy
Moderátor
Moderátor
Příspěvky: 9509
Registrován: 23.07.2011 11:32
Bydliště: Liberec
Kontaktovat uživatele:

Re: Vadne turbo FF 1,6 TDCi

Příspěvek od phofy » 30.06.2012 06:07

Mělo by zabírat plynule a už od nějakých 1800 otáček.

Uživatelský avatar
Sagic
Zkušený
Zkušený
Příspěvky: 1129
Registrován: 18.06.2012 11:59
Bydliště: Náchodsko

Re: Vadne turbo FF 1,6 TDCi

Příspěvek od Sagic » 30.06.2012 08:32

To jsi mě moc nepotěšil, někdy mě přijde že ten skokový nárust výkonu není a někdy že zase jo, ale ted posledni dobou porad. Vzdy se plynule rozjizdi od 1500 nijak extra dynamika a pak padne 2000 a vystreli jak raketa. Myslis ze je turbo v hajzlu nebo by to mohlo ovlivnovat i neco jineho. Najeto mam 99 tis.

Jinak pak uz tahne porad, vcera jsem zkousel nekolikrat s teplym motorem do 4 tis i pod plnym do dlouheho stoupani a v pohode. Vic to ale nechci moc honit, mam ho chvili a zjistil jsem ze tam je 5w30 A1/B1 olej :dih:
Je:
Ford Focus III 1.6 Ecoboost 110KW
https://www.ford-focus.cz/forum/viewtopi ... 46&t=46977

Byl:
Ford Focus 2/2006 1.6 TDCi 80 KW s DPF

Uživatelský avatar
lucky.jack
Test driver
Test driver
Příspěvky: 8461
Registrován: 12.03.2011 21:18
Bydliště: v Hradci Královým

Re: Vadne turbo FF 1,6 TDCi

Příspěvek od lucky.jack » 30.06.2012 09:39

Jen jestli nemáš 199tkm...
V 1750 ot/min máš největší výkon, tzn, když sepne turbo. Můžeš mít přituhlou ovládací tyčku na aktuátoru.
Focus III combi, 10/2011, 1.6 Ti-VCT 105 poníků

>Galerie< - Focus II combi 10/2007 Collection(mezifacelift), 1.6 TDCi 66 kW/214Nm - chip 81kW/245Nm

Uživatelský avatar
cr4sh3r87
.
.
Příspěvky: 559
Registrován: 28.09.2008 14:21
Bydliště: Přerov

Re: Vadne turbo FF 1,6 TDCi

Příspěvek od cr4sh3r87 » 30.06.2012 10:45

Ono je sice pěkný co tvrdí výrobce, ale realita je někde jinde. To že ti zabere pořádně ve 2000ot./min je zcela normální. Mrkni se na net na grafy z brzd před chipováním, pak uvěříš :)
Je:Ford Mondeo ST220, 05', BLACK PANTHER-RECARO RED INFRA
Je:Ford Focus 1,6 16V 02' - silver, tinted window, -40mm, 17Alu z ST170 - Kostitřas do špatného počasí
Bylo:Ford Focus mkII 1.6TDCi 80kw bez DPF, EGR off
Bylo:Ford Focus mkI 1.8 16V Wolf

Uživatelský avatar
lucky.jack
Test driver
Test driver
Příspěvky: 8461
Registrován: 12.03.2011 21:18
Bydliště: v Hradci Královým

Re: Vadne turbo FF 1,6 TDCi

Příspěvek od lucky.jack » 30.06.2012 10:54

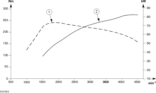
Oficiální graf vypadá takhle a grafy z brzdy by mě zajímaly.
Kde jsou k vidění?
1 - krouťák
2 - výkon
Přílohy
graphic.jpg
Focus III combi, 10/2011, 1.6 Ti-VCT 105 poníků

>Galerie< - Focus II combi 10/2007 Collection(mezifacelift), 1.6 TDCi 66 kW/214Nm - chip 81kW/245Nm

Uživatelský avatar
V12
Test driver
Test driver
Příspěvky: 6102
Registrován: 10.02.2010 22:59
Bydliště: Soporna, SK

Re: Vadne turbo FF 1,6 TDCi

Příspěvek od V12 » 30.06.2012 13:33

Moj sluzobny P307 SW 1.6HDI 80kW taha plynulo bez nakopnutia od 1500 otacok az takmer do obmedzovaca, akoby to bol benzinak. Najlepsie zrychluje niekde okolo 2000 otacok, tam ma najvacsi krutiaci moment (a teda aj silu na kolesach). Po prekroceni 3500 otacok ochota tahu zacne klesat, od 4000 do 4500 toci uz iba z povinnosti. Ked bolo pridrete turbo, robilo to presne ako je to popisane vyssie - do cca 2200 nic, potom prudky kopanec a po 2500 otackach rychla smrt a takmer ziadna ochota tahat. A 1.6TDCI 80 kW je presne ten isty motor. Ako pise lucky.jack - ako prve treba skontrolovat, ci funguje variabil. Regulacna tycka by sa mala zlahka pohybovat po celej svojej drahe. Ak je variabil pridrety, tiez to moze robit taketo psie kusy.
Moj 2.0 TDCI s chytenymi vstrekovacmi sa spraval podobne - do 1500 skoro nic, od 1600 do 2200 explozia vykonu (hrabalo to za jazdy na dvojke - stacilo zasliapnut plyn do podlahy, hned bolo citit pach spalenej gumy). Po 2500 otackach nasledovalo citelne ochabovanie, po prekroceni 4000 s nim uz nebola ziadna spolupraca. Idealne bolo ho drzat do 3000, potial fungoval velmi dobre. Po vymene vstrekovacov sa ale situacia zmenila - maximum tahu bolo roztiahnute v oblasti od 1900 do cca 2500 rpm, potom tah plynulo klesal k cca 3500 rpm. V pasme od 3500 do 4000 bol pokles tahu citelny, po prekroceni 4000 az do obmedzovaca som sa citil, akoby auto vbehlo do hlbokej mlaky.

Takze je toho viac ako turbo. Ked to nehuka a nehuli, jazdi.
DV6 nie je motor. Ale sustava nahodne umiestnenych suciastok co vrcia a trasu sa a popritom zeru naftu...

Mondeo 2.5T Titanium SK
ZEM JE NASE IHRISKO

pepé
Nováček
Nováček
Příspěvky: 174
Registrován: 16.02.2011 14:30

Re: Vadne turbo FF 1,6 TDCi

Příspěvek od pepé » 30.06.2012 17:51

Tak jsem po 6 měsících a najetých 20 000km zopakoval mazací zkoušku turba.
Za minutu na volnoběch proteklo turbem 0,9 litru oleje :huraa: (předtím 0,7l). Auto bylo zahřáté po 50 km cestě v dnešním vedru.
Vypadá, že je vše opět OK, sítko mám stále nevyndané a zatím stále používám 5W-30 s výměnou cca 13 000km. Teď už koupím asi 5W-40.
Mondeo MKIV combi 2011, 2.0 TDCi 103 kW Titanium, průměr 6,1 l/100Km
Focus II combi 2008, 1.6 TDCi 80 kW (už zase s DPF), průměr 4,9 l/100Km
Focus I combi 2001, 1.8 TDCi 85 kW , průměr 5,6 l/100Km
Escort combi 1985

Bastr
Nováček
Nováček
Příspěvky: 77
Registrován: 30.07.2011 12:32

Re: Vadne turbo FF 1,6 TDCi

Příspěvek od Bastr » 30.06.2012 20:15

kiblik píše:Zdravím,

co říkate na tohle, kolik se stím dá ještě najezdit?

Soubor v příloze: http://leteckaposta.cz/825036741

Zatím sem stím najel cca. 5000km a jen nepatrně se to zhoršilo podle mě hlavně kvůli naředění oleje naftou z mrtvýho DPF. Na studeným motoru je to slyšet dost, za tepla už jen trochu. Známý má ten samý motor v C-Maxu a tam nění slyšet vůbec nic takže něco tomu asi bude. Sítko je vyndaný a DPF taky.

Lucky boy :Dancer:

Můžete doporučit nějaký "turbo servis" v okolí Mladé Boleslavy nebo Prahy, kde vás potěšily ůspěšným repasem a neokradli?

je to jednoduchý co tomu je :) přesně tenhle zvuk nám vydával taky Focus a poradil mě V12 a měl pravdu. Budou to nejspíš Diodové mostíky na Alternátoru oprava asi kolem 6000kč ;) jo a projeví se to ještě tím že se ti po pár tis. km rozsvítí kontrolka baterky protože Altím přestane fungovat úplně
Ford Focus kombi 1.6TDCi 80kW

Uživatelský avatar
Komi
Junior
Junior
Příspěvky: 414
Registrován: 02.02.2008 03:18
Bydliště: Bratislava

Re: Vadne turbo FF 1,6 TDCi

Příspěvek od Komi » 30.06.2012 21:00

6000Kc za par diod je trochu privela- altik kompletny 120A stoji o dost menej, 150A zhruba tolko a to mas so zarukou a stary mozes opravit urcite daleko lacnejsie....
Focus II. kombi, Trend (A), 1,6TDCI 80kW 2006 , DPF vymeneny 2011, turbo 2009

Uživatelský avatar
cr4sh3r87
.
.
Příspěvky: 559
Registrován: 28.09.2008 14:21
Bydliště: Přerov

Re: Vadne turbo FF 1,6 TDCi

Příspěvek od cr4sh3r87 » 01.07.2012 02:49

Tady dokážete tak akorát všeci strašit. To že to při normálním provozu zabere ve 2000 je zcela normální. Prostě turbu trvá než se roztočí. To co naměří výrobce, je dělaný na brzdě s velice pomalým rozběhem při plným plynu už od 1000ot./min, takže turbo má možnost se roztočit od 1750ot. Tohle bohužel v normálním režimu zasimulovat moc nejde, protože to auto překoná hranici 1750ot dřív než se turbo stihne vůbec pořádně roztočit.

Zde graf na normální brzdě...
Obrázek

Jinak samozřejmě V12 má pravdu, pokud turbo nejeví viditelný a slyšitelný známky poškození, tak za případný špatný tah a nástup turba můžou v první řadě vstřiky, pak čerpadlo.

Jinak k diodovýmu můstku se asi někdo upsal o nulu :lol:
Je:Ford Mondeo ST220, 05', BLACK PANTHER-RECARO RED INFRA
Je:Ford Focus 1,6 16V 02' - silver, tinted window, -40mm, 17Alu z ST170 - Kostitřas do špatného počasí
Bylo:Ford Focus mkII 1.6TDCi 80kw bez DPF, EGR off
Bylo:Ford Focus mkI 1.8 16V Wolf

Uživatelský avatar
Komi
Junior
Junior
Příspěvky: 414
Registrován: 02.02.2008 03:18
Bydliště: Bratislava

Re: Vadne turbo FF 1,6 TDCi

Příspěvek od Komi » 01.07.2012 15:29

niekedy staci trosku rozmyslat a potom pisat a nie naopak:
Tohle bohužel v normálním režimu zasimulovat moc nejde, protože to auto překoná hranici 1750ot dřív než se turbo stihne vůbec pořádně roztočit.
bezny rezim prave teraz v case dovoleniek na dialnici v rakuskych kopcoch...1800ot a cez 200Nm
Focus II. kombi, Trend (A), 1,6TDCI 80kW 2006 , DPF vymeneny 2011, turbo 2009

Uživatelský avatar
cr4sh3r87
.
.
Příspěvky: 559
Registrován: 28.09.2008 14:21
Bydliště: Přerov

Re: Vadne turbo FF 1,6 TDCi

Příspěvek od cr4sh3r87 » 01.07.2012 17:34

To mám chápat tak, že jezdíš kopce s naloženým autem na 1800ot.?? Kopni tam rovnou osmičku a val to na volnoběh :D
Je:Ford Mondeo ST220, 05', BLACK PANTHER-RECARO RED INFRA
Je:Ford Focus 1,6 16V 02' - silver, tinted window, -40mm, 17Alu z ST170 - Kostitřas do špatného počasí
Bylo:Ford Focus mkII 1.6TDCi 80kw bez DPF, EGR off
Bylo:Ford Focus mkI 1.8 16V Wolf

Uživatelský avatar
V12
Test driver
Test driver
Příspěvky: 6102
Registrován: 10.02.2010 22:59
Bydliště: Soporna, SK

Re: Vadne turbo FF 1,6 TDCi

Příspěvek od V12 » 01.07.2012 19:48

cr4sh3r87 :

Samozrejme ze kopce budem jazdit tam, kde mam maximalny krutiak. A kde inde by som to mal jazdit ? V cervenom ? Tvoj postup je presne ten, ktory odrovnava 1.6TDCI na zakarbonovanie od prehriateho oleja.
DV6 nie je motor. Ale sustava nahodne umiestnenych suciastok co vrcia a trasu sa a popritom zeru naftu...

Mondeo 2.5T Titanium SK
ZEM JE NASE IHRISKO

Zamčeno

Zpět na „Focus - naftové 2004 - 2011“

Kdo je online

Uživatelé prohlížející si toto fórum: Žádní registrovaní uživatelé a 4 hosti